
W : 누출률 (㎏/s)
Cd : 누출계수(단위없음), 대형환기구, 입•출구, 난류와 점성 등을 나타내는 누출계수
S : 누출부면적 (㎡)
ρ : 액체 밀도 (㎏/㎥)
△P : 누출압력차 (Pa)

Wg : 증발률 (㎏/s)
Cd : 누출계수(단위없음), 대형환기구, 입•출구, 난류와 점성 등을 나타내는 누출계수
S : 누출부면적 (㎡)
P : 내부압력 (Pa)
: 비열계수
Z : 압축 인자(단위 없음)
R : 이상 기체상수 (8314 J/kmol K)
T : 유체, 기체 또는 액체의 절대온도 (K)

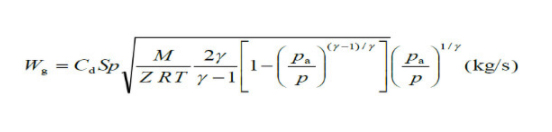
Wg : 증발률 (㎏/s)
Cd : 누출계수(단위없음), 대형환기구, 입•출구, 난류와 점성 등을 나타내는 누출계수
S : 누출부면적 (㎡)
P : 내부압력 (Pa)
: 비열계수
Z : 압축 인자(단위 없음)
R : 이상 기체상수 (8314 J/kmol K)
T : 유체, 기체 또는 액체의 절대온도 (K)
Pa : 외부압력 (Pa)

We : 증발률 (㎏/s)
uw : 특정 기준높이에서 풍속 또는 해당되는경우, 주어진 누출조건에서의 환기속도 (m/s)
Ap : 풀표면적 (㎡)
pv : 액체 증기압 (kPa)
R : 이상기체 상수 (8314 J/kmol K)
T : 내부 온도 (K)
희석등급은 그림 1.의 차트에 따라 평가할 수 있다.
| 누출특성 | ![]() |
|---|---|
| 가스/증기의 밀도(kg/) | ![]() |
| LFL 안전계수(일반적으로 0.5~1.0 값) | ![]() |

인화성 가스가 발생할 수 있는 폭발위험장소의 범위는 누출률과 가스특성, 누출형상(geometry) 및 주위의 기하학적 구조 등 다양한 요소들에 의해 결정된다. 아래 그림은 다양한 유형의 누출에 대한 폭발위험장소의 범위를 결정하기 위한 지침으로 활용할 수 있다. 신뢰할만한 자료를 기초로 하는 다른 유형의 추정이나 평가(예: 전산유체역학, CFD) 또한 적용할 수 있다.
다음중 하나에 속하는 누출 유형에 따라 적절한 곡선을 선택한다.
a) 방해받지 않는 고속 제트 누출
b) 저속의 확산누출 또는 누출 형상이나 주위 표면의 충돌로 인한 속도손실 제트누출
c) 수평 표면(예: 지표면)을 따라 확산되는 무거운 가스 또는 증기

| 구분 | |
|---|---|
| 고희석 (high dilution) | 누출원 근처에서의 농도를 순간적으로 감소시키고, 누출이 중단된 후 사실상 지속되지 않는다. |
| 중희석 (medium dilution) | 누출이 진행되는 동안에도 누출농도를 안정된 상태로 제어할 수 있고, 누출이 중단된 후에는 더 이상 폭발성 가스 분위기가 지속되지 않는다. |
| 저희석 (low dilution) | 누출이 진행되는 동안에 상당한 농도로 지속되고, 누출이 정지된 후에도 인화성 분위기가 상당기간 지속된다. |
| 등급 | 유효성 |
|---|---|
| 우수 | 환기가 연속적으로 이루어진 상태 |
| 양호 | 정상작동 상태에서 이루어지는 환기 상태 |
| 미흡 | 환기에 의한 공기의 흐름이 우수 또는 양호에 미치지 못하는 상태 |
| 누출등급 | 환기유효성 | ||||||
|---|---|---|---|---|---|---|---|
| 고희석 | 중희석 | 저희석 | |||||
| 환기이용도 | |||||||
| 우수(good) | 양호(fair) | 미흡(poor) | 우수 | 양호 | 미흡 | 우수, 양호, 미흡 | |
| 연속 | 비위험 (0종 NE)-(a) |
2종 장소 (0종 NE)-(a) |
1종 장소 (0종 NE)-(a) |
0종 장소 | 0종 장소 +1종 장소 |
0종 장소 +1종 장소 |
0종 장소 |
| 1차 | 비위험 (1종 NE)-(a) |
2종 장소 (1종 NE)-(a) |
2종 장소 (1종 NE)-(a) |
1종 장소 | 1종 장소 +2종 장소 |
1종 장소 +2종 장소 |
1종 또는 0종 장소 (c) |
| 2차 (b) | 비위험 (2종 NE)-(a) |
비위험 (2종 NE)-(a) |
2종 장소 | 2종 장소 | 2종 장소 | 2종 장소 | 1종 및 0종 장소 (c) |
|
a 0종 NE, 2종 NE, 2종 NE는 정상조건에서는 무시할 수 있는 범위의 이론적 폭발위험장소를 말함 b 2차 누출등급으로 형성된 2종 장소가 1차 또는 연속 누출등급에 의한 범위보다 클 수 있다. c 환기가 아주 약하고 실제로 폭발성 가스 분위기가 지속되는 누출의 경우 (즉, 환기 없는 것에 가까운 상태)에는 0종 장소에 할 수 있음 |
|||||||
|
‘+’는 ‘~에 둘러싸여 있음’을 뜻한다. 자연환기가 일어나는 밀폐공간에서의 환기이용도는 ‘우수’로 고려해서는 안 된다. |
|||||||